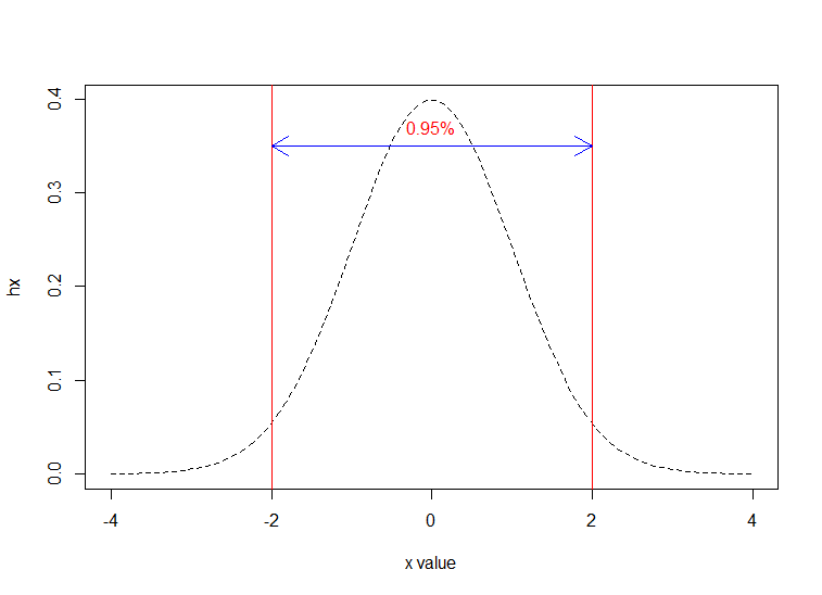
Drawing Normal Distribution In R . In order to add a normal curve or the density line you will need to create a density histogram setting prob = true as argument. At ± 2 sds draw points at about 1/8th of the height.
Bar Graph With Standard Deviation Maker Free Table Bar Chart from thetablebar.blogspot.com
It contains the drawn samples as columns. Label the mean and 3 standard deviations above and below the (10) mean. This function computes the mean of each column, i.e., of.
Bar Graph With Standard Deviation Maker Free Table Bar Chart
I'm not sure how to get going with the code. At ± 2 sds draw points at about 1/8th of the height. R has four in built functions to generate normal distribution. It contains the drawn samples as columns.
Source: stackoverflow.com
Check Details
At ± 1 sds draw points at about 5/8ths of the height. Suppose we have a sample of size n=100 belonging from a normal population n(10,2) with mean=10 and standard deviation=2: Using r, draw a standard normal distribution. Include an informative title and labels on the x and y axes. The first distribution most people are made familiar with is.
Source: kktg.net
Check Details
At ± 1 sds draw points at about 5/8ths of the height. Explaining to students (or professors) the basic of statistics; We can obtain samples from some pdf (such as gaussian, poisson, weibull, gamma, etc.) using r statements and after we draw a histogram of these data. 5.7.3 computing probabilities for the variance in r in the appendix to chapter.
Source: math.stackexchange.com
Check Details
Include an informative title and labels on the x and y axes. I'm not sure how to get going with the code. Compute sample means using colmeans(). Using r, draw a standard normal distribution. Apr 2, 2010 blog this site uses cookies.
Source: stackoverflow.com
Check Details
5.7.3 computing probabilities for the variance in r in the appendix to chapter 4, we showed how to compute probabilities for the mean of a normal distribution. Plotting a normal distribution is something needed in a variety of situation: Using r, draw a standard normal distribution. Suppose we have a sample of size n=100 belonging from a normal population n(10,2).
Source: rgraphgallery.blogspot.com
Check Details
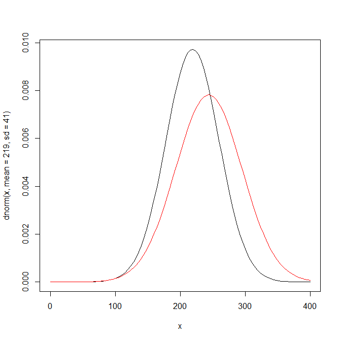
5.7.3 computing probabilities for the variance in r in the appendix to chapter 4, we showed how to compute probabilities for the mean of a normal distribution. Label the mean and 3 standard deviations above and below the (10) mean. However, you can choose other values for mean, standard deviation and dataset size. Suppose we have a sample of size.
Source: hanshuginn.blogspot.com
Check Details
At ± 1 sds draw points at about 5/8ths of the height. The following r code specifies the sample size of random numbers that we want to draw (i.e. In order to add a normal curve or the density line you will need to create a density histogram setting prob = true as argument. The following code instructs r to.
Source: www.educba.com
Check Details
# this was how we got y3 n3=50; This tool will produce a normally distributed dataset based on a given mean and standard deviation. About press copyright contact us creators advertise developers terms privacy policy & safety how youtube works test new features press copyright contact us creators. The outcome of replicate() is a matrix with dimensions n \(\times\) rep..
Source: stackoverflow.com
Check Details
In order to add a normal curve or the density line you will need to create a density histogram setting prob = true as argument. This tool will produce a normally distributed dataset based on a given mean and standard deviation. A basic histogram can be created with the hist function. It contains the drawn samples as columns. Standard deviation.
Source: www.chegg.com
Check Details
The following code instructs r to apply gaussian (normal) smoothing to the values in variable y3, and plot their mean probability density. 1000), the means of our two normal distributions (i.e. Standard deviation of normal distribution. At ± 3.25 sds draw points on the x axis. Ggplot (mtcars, aes (x = mpg)) + stat_function ( fun = dnorm, args =.
Source: thetablebar.blogspot.com
Check Details
At x=0, draw a point to be the top of the bell curve. We have added the original values as a rugplot. If you want to generate a distribution that peaks near 0.2 and has most of its density between 0 and 1, the following call to dsn () from the sn package comes close. Ggplot (mtcars, aes (x =.
Source: www.youtube.com
Check Details
Label the mean and 3 standard deviations above and below the (10) mean. R has four in built functions to generate normal distribution. A basic histogram can be created with the hist function. Use the function replicate() in conjunction with rnorm() to draw n observations from the standard normal distribution rep times. The following r code specifies the sample size.
Source: people.ku.edu
Check Details
At x=0, draw a point to be the top of the bell curve. Use the function replicate() in conjunction with rnorm() to draw n observations from the standard normal distribution rep times. Here’s a few tips that can make it easier. Label the mean and 3 standard deviations above and below the (10) mean. Ggplot (mtcars, aes (x = mpg)).
Source: www.youtube.com
Check Details
Suppose we have a sample of size n=100 belonging from a normal population n(10,2) with mean=10 and standard deviation=2: Rnorm (n, mean=0, sd=1) where: If you want to generate a distribution that peaks near 0.2 and has most of its density between 0 and 1, the following call to dsn () from the sn package comes close. The following r.
Source: mccarthymat150.commons.gc.cuny.edu
Check Details
1000), the means of our two normal distributions (i.e. This tool will produce a normally distributed dataset based on a given mean and standard deviation. At ± 3.25 sds draw points on the x axis. At x=0, draw a point to be the top of the bell curve. R has four in built functions to generate normal distribution.
Source: www.statmethods.net
Check Details
About press copyright contact us creators advertise developers terms privacy policy & safety how youtube works test new features press copyright contact us creators. If you want to generate a distribution that peaks near 0.2 and has most of its density between 0 and 1, the following call to dsn () from the sn package comes close. It’s default value.
Source: www.javatpoint.com
Check Details
Suppose we have a sample of size n=100 belonging from a normal population n(10,2) with mean=10 and standard deviation=2: Rnorm (n, mean=0, sd=1) where: A basic histogram can be created with the hist function. Standard deviation of normal distribution. # this was how we got y3 n3=50;
Source: www.statmethods.net
Check Details
# this was how we got y3 n3=50; Dnorm (x, mean, sd) pnorm (x, mean, sd) qnorm (p, mean, sd) rnorm (n, mean, sd) following is the description of the parameters used in above functions −. However, you can choose other values for mean, standard deviation and dataset size. We have added the original values as a rugplot. At ±.
Source: stackoverflow.com
Check Details
Here we show similar calculations for the distribution of the sampling variance for normal data. At ± 1 sds draw points at about 5/8ths of the height. The following r code specifies the sample size of random numbers that we want to draw (i.e. Explaining to students (or professors) the basic of statistics; R has four in built functions to.
Source: radacad.com
Check Details
I'm not sure how to get going with the code. A basic histogram can be created with the hist function. Dnorm (x, mean, sd) pnorm (x, mean, sd) qnorm (p, mean, sd) rnorm (n, mean, sd) following is the description of the parameters used in above functions −. Compute sample means using colmeans(). Ggplot (mtcars, aes (x = mpg)) +.
Source: stackoverflow.com
Check Details
Apr 2, 2010 blog this site uses cookies. Use the function replicate() in conjunction with rnorm() to draw n observations from the standard normal distribution rep times. The outcome of replicate() is a matrix with dimensions n \(\times\) rep. At ± 3.25 sds draw points on the x axis. Histogram with density curves in r.